南京ag九游会官方下载环保科技致力于AG九游会登陆欧洲,传明酸,粉末涂料固化剂,TPO光引发剂,热固化剂,光固化剂,芳香酸等产品

服务热线 151 5182 2034
羟烷基酰胺-552(RT-52)
羟烷基酰胺-552(RT-52)

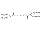
化学名称:Bis(N,N’-di-ethylhydroxy)adipoyl amide
中文名称:四羟乙基己二酰二胺
CAS No.:6334-25-4
分 子 式:C14H28N2O6
分 子 量:320.38

服务热线 151 5182 2034

结 构 式:

产品特性

1.  无毒性

2.  效率高

产品描述

羟烷基酰胺-552 CAS :6334-25-4是一种用于热塑性固体粉体涂料的交联固化剂。该产品为低毒性,对眼睛及皮肤无刺激,被视为绿色环保产品。作为环保型涂料,是涂料中较新,且快速发展的一个分支。

产品指标
指标名称单位含量

熔点

[°C]

120-126

干燥失重

[%]

≤0.5

0H值

mgKOH/g

600-725

典型特征

化学名称

四羟乙基己二酰二胺

外观

白色粉末

保存期限(保存于干燥地方, 温度为 0-30℃)

交货日起 12 个月

产品规格

测试项目

测试方法

数值

抗弯强度

ISO1519

≤  2.0

铅笔硬度

ASTMD3363

≥ H

冲击强度

ISO6272

50

60℃ 光泽度

GB/T9754

≥ 90
加速老化 (800 hrs)

GB/T186

≤ 5.0%

涂膜厚度 (mm)

——

50-100

产品应用

应用范围包括:建筑工业、户外家具、家电行业、电子产品、船舶防腐及汽车行业。

1. 树酯: P855, P865 of DSM,CC7630, CC7618, CCE37498 of Cytec, etc.

2. 数量: 4-6%.

3. 固化条件:180℃/15min or190℃/10-12min.

4. 建议配方:

Content

Wt(%)

树酯(CC7630 of Cytec)

95.0

固化剂 (Aplus 552)

5.0

流平剂

1.5

消泡剂

0.5-1.0

钛白粉

20-50

使用注意事项

1、与聚酯树脂的匹配问题

由于RT-52的反应活性较快,不宜采用传统的TGIC固化型聚酯,而要选用RT-52专用聚酯。

2、涂膜针孔及耐黄变问题

RT-52 在与聚酯固化反应时,有水分子产生,涂膜表面易产生针孔等弊病,普通聚酯不适宜100μm以上的厚涂;另外在配方中加入0.5%左右的脱气剂,可以达到抑制涂膜针孔的效果。考虑到安息香对涂膜泛黄性的影响,它的用量控制在成膜物总量的0.3%左右,尽量降低使用量,在生产白色或浅色粉末时,配方中加入0.5%左右的抗氧剂,可提高涂膜的耐黄变性能。

3、粉末吸潮上粉问题

由于RT-52是一种亲水性化合物,储存及制备的粉末涂料储存时,应注意防水、防潮。粉末吸潮后上粉不佳,涂膜附着力差。



推荐产品
RECOMMEND
TPO光引发剂(RT-PO)
TPO光引发剂(RT-PO)

RT-PO CAS :75980-60-8是一种高效的裂解型自由基光引发剂......

AG九游会登陆欧洲
AG九游会登陆欧洲

AG九游会登陆欧洲 CAS :554-95-0是一种重要的化工原料......

羟烷基酰胺-552(RT-52)
羟烷基酰胺-552(RT-52)

羟烷基酰胺-552 CAS :6334-25-4是一种用于热塑性固体粉体涂料的交联固化剂......

推荐资讯
NEWS
CONTACT US
联系我们
151 5182 2034

联系人:安经理

邮箱:rtdchem@runtime-chem.com

总部:南京市建邺区江东中路186-1号

生产基地:宁夏中卫市沙坡头工业园

ONLINE MESSAGE
在线留言

验证码

Baidu
map